Is the definition of SPAC wrong in Aki (1957)?

Discuss here all technical and scientific questions about the processing of ambient vibrations for site characterization (H/V, Array methods,...)
Post Reply
Luosong
Posts: 2
Joined: Tue Apr 10, 2012 12:56 pm

Is the definition of SPAC wrong in Aki (1957)?

Post by Luosong »

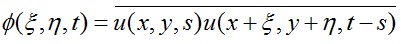
As we know, The autocorrelation function is defined in this way (Aki, 1957),
(see attachment - Aki)
but I think may defined in this way is wrong, it should be the following expression,
(see attachment - Me)
where the bar stands for mean with respect to the time variable s.
Cho (2008) defined the autocorrelation function in the following way:
(see attachment - Cho)
I thought the definition by Cho is reasonable, and the one defined by Aki (1957) may
do some modifications (see attachment - Me)

Is what I tell right?

Thanks for all,

Luosong
Attachments
Cho.jpg
Cho.jpg (6.99 KiB) Viewed 118073 times
Aki.jpg
Aki.jpg (8.35 KiB) Viewed 118073 times
Me.jpg
(7.91 KiB) Not downloaded yet
admin
Site Admin
Posts: 842
Joined: Mon Aug 13, 2007 11:48 am
Location: ISTerre
Contact:

Re: Is the definition of SPAC wrong in Aki (1957)?

Post by admin »

As far as I can remember the Aki formulation compares the signals with a zero-lag correlation. This is the way it is implemented in geopsy. It is certainly not wrong, but maybe not optimum? Current implementation has been tested with success on many datasets including synthetic ones where the true phase velocity is not disputable. If you can suggest papers that discuss this topic in details, they are pretty welcome.
Luosong
Posts: 2
Joined: Tue Apr 10, 2012 12:56 pm

Re: Is the definition of SPAC wrong in Aki (1957)?

Post by Luosong »

I should say what you mentioned above is right, I find a paper which mentioned about this topic.
Paper: Victor C, (2010), GJI, "An explicit relationship between time-domain noise correlation and spatial autocorrelation (SPAC) results"
In equation (21) of this paper, we can find the relationship which you mentioned before.
Post Reply