Problem: Sharp peaks and industrial origin

Discuss here all technical and scientific questions about the processing of ambient vibrations for site characterization (H/V, Array methods,...)
Post Reply
victoriafc
Posts: 4
Joined: Fri Jul 08, 2022 6:31 pm

Problem: Sharp peaks and industrial origin

Post by victoriafc »

Hello! I am using the H/V method in Geopsy.
I am currently analyzing the peaks that I obtained from my data, in these I observe a 33 Hz frequency peak that is maintained throughout 1 year and also throughout the entire day.
I analyzed the spectrum of my raw data to determine if it is of industrial origin (suggested by SESAME). I observe a peak at that frequency only in the East and North components; in the vertical component (Z) I do not observe anything.
Is this enough to suggest that this frequency is of industrial origin?

I appreciate any suggestion.
admin
Site Admin
Posts: 842
Joined: Mon Aug 13, 2007 11:48 am
Location: ISTerre
Contact:

Re: Problem: Sharp peaks and industrial origin

Post by admin »

Can you post a figure of the spectra?
Did you try the random decrement technique (damping tool) to check if it is sustained or not?
victoriafc
Posts: 4
Joined: Fri Jul 08, 2022 6:31 pm

Re: Problem: Sharp peaks and industrial origin

Post by victoriafc »

hello! thanks for your quick response.
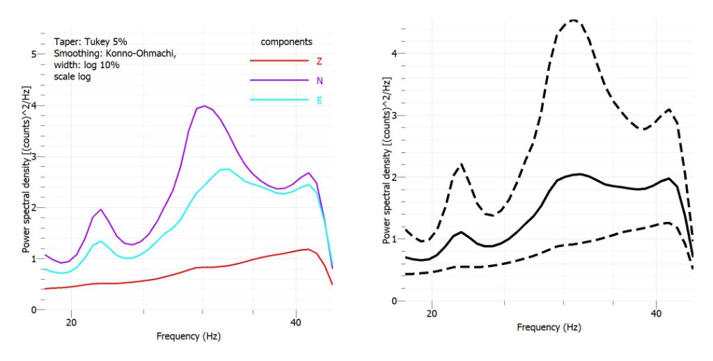
Attached is corresponding spectrum.
I also tried the random decrease technique on my data(an entire day), but I don't know if I used the correct parameters.
I apply a bandpass filter between 32 and 34 Hz. As a filter, I used the butterworth filter with an order of 4. And finally I used a window length and fitting length of 0.4 s.
I would appreciate if you can confirm if I am applying the method correctly.

kind regards.
Attachments
spectrum.jpg
(50.28 KiB) Not downloaded yet
dampling.jpg
(81.11 KiB) Not downloaded yet
Last edited by victoriafc on Mon May 15, 2023 5:10 pm, edited 1 time in total.
admin
Site Admin
Posts: 842
Joined: Mon Aug 13, 2007 11:48 am
Location: ISTerre
Contact:

Re: Problem: Sharp peaks and industrial origin

Post by admin »

Your spectra look very smooth. Can you post a screenshot of the smoothing parameters in the spectrum toolbox?

Usually peaks from machinery are very localized in frequency. Unless smoothing is too strong, your spectra do not look like being affected by a clear artificial source.

The damping signals you calculated are attenuated after a few cycles which means that the phase is not constant over time.
victoriafc
Posts: 4
Joined: Fri Jul 08, 2022 6:31 pm

Re: Problem: Sharp peaks and industrial origin

Post by victoriafc »

Hello, thank you very much for your help.
I attach the images corresponding to the smoothing parameters and also different variations of it (5%, 10%, 20% and 40%).

King regards
Attachments
Konno-ohmachi-40%.jpg
(52.81 KiB) Not downloaded yet
Konno-ohmachi-20%.jpg
(53.95 KiB) Not downloaded yet
Konno-ohmachi-10%.jpg
(56.25 KiB) Not downloaded yet
Konno-ohmachi-5%.jpg
(57.76 KiB) Not downloaded yet
smoothing-parameters.PNG
(20.92 KiB) Not downloaded yet
Post Reply